9.2.12 The (Plot Details) Bridge Chart Tab
Specify whether to plot the column/bar plot(s) in current layer as McKinsey-style waterfall charts (also called Bridge chart).
Contents
Background
A Bridge Chart (known to MS Excel users as a "Waterfall Chart") is used to chart incremental changes between some starting and ending quantity. Each incremental change is represented by a scale-proportional "floating column" that is color-coded to indicate whether the quantity is to be added or subtracted from the starting quantity.
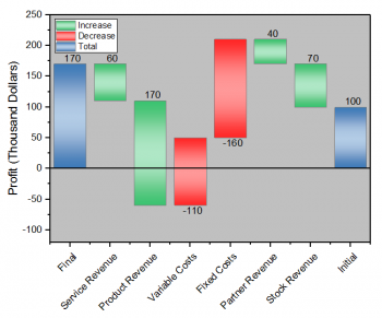
A simple Bridge Chart is shown below:
The first and final bar in blue are total; while the four bars(up and down) between them are changes: increase in green and decrease in red
The basic rules of this kind of charts are:
- All data points, except the total or subtotal data points specified by the Data Indices for Total/Subtotal edit box, are the changes.
- The baseline of first data point is Y=0.
- The baseline of each data point(from 2nd data point) is the baseline of previous data point adding up the change(current data value).
- If the data point is total or subtotal, then the baseline will be back to 0.
Controls in this tab
Enable Bridge Chart
Check this check box to convert the column/bar plot(s) in current layer to this specific kind of floating column/bar chart(s).
Show Connect Line
Specify whether to show the connect line. The line will connect the baseline of current column/bar and the top of previous one.
When this check box is checked, you can customize the style of the connect line in the Line tab at plot level.
Connect by Subset
Once this check box is checked, the connect line will only connect columns/bars inside each subset.
Data Indices for Total/Subtotal
Enter the row indices of the total and subtotal data point, using the space as delimiters.
The specified data points will be treated as subtotals or totals when plotting and their baseline will be back to 0(the columns/bars will start from 0).
There is a equivalent and more interactive way to specify a total/subtotal data point: If you have plot a bridge chart, click on the plot tiwce(three times for multiple plots) to select single column/bar, and then you can right-click on this data point to select Set as Total/Subtotal in the context menu to set this data point as a total and subtotal data point. |
Cumulative Stack for Total/Subtotal Only
If there are multiple coulmn/bar plots with same X scale in the current layer, and the column/bar plots are cumulatively stacked, specifying any subtotal total data point will make this check box available.
Checking this check box, only the total/subtotal columns/bars will be stacked cumulatively and other columns/bars will be plotted separately and without stacking in Y direction.
Supported Bridge Charts in Origin
Origin supports four typical bridge charts which can be produced from Plot> Statistical: Bridge Chart menu directly:
| Bridge Charts | Notes |
|---|---|
| General Bridge Chart |
You can select more than one Y columns to plot multiple bridge charts in a layer.
|
| Stacked Bridge Chart |
All Y values in the same X position will be stacked in Y direction. The color list will be applied to distinguish each bar plot. |
| Stacked Total Bridge Chart |
Only the total/subtotal data points with the same row indices will be stacked. Other data points will be plotted as general bridge chart but with no gap. |
| Horizontal-Bridge Chart |
It is created by exchanging X and Y Axis of general bridge chart. |
You can read this plot type page to check the appearance and detailed requirement of this kind of Bridge Charts.
| Note: When the columns/bars of these bridge charts fall under 0, Origin will add an additional line at Y=0(X=0 for the horizontal-bridge chart) and move the bottom X axis to a proper position at negative Y axis(X axis for the horizontal-bridge chart) as below: |
_Bridge_Chart_Tab/Bridge_Chart_example.png?v=75899)
_Bridge_Chart_Tab/350px-Bridge_Chart_Example_underZero.png?v=76911)