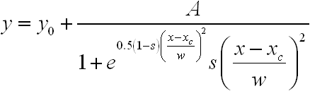
30.4.6 Gaussian LorenCross
Function
Brief Description
Gaussian-Lorentzian Cross Product
Sample Curve
Parameters
Number: 5
Names: y0, xc, A, w, s
Meanings: y0 = base, xc = center, A = amplitude, w = width, s = shape
Lower Bounds: w>0
Upper Bounds: none
Function File
fitfunc\Gaussian_LorenCross.fdf

