Last Update: 2/3/2015
Origin automatically computes and reports EC20, EC50, and EC80 values in the output Report Sheet when fitting with Dose Response function in the nonlinear fitter dialog.
This computation is performed post-fit, using the Derived Parameters feature for fitting functions. The information provided below show how the formulas for EC20, EC50, and EC80 were derived:
First, let's look into how Origin defines the Dose Response fitting function. Open the Fitting Function Organizer (press F9) and select the DoseResp function under the Growth/Sigmoidal Category. At the bottom of the page, the derived parameters are defined as:
span=abs(A1-A2) EC20=10^(LOGx0 + log(0.25)/p) EC50=10^LOGx0 EC80=10^(LOGx0 + log(4)/p)
From the formula tab, we can know the DoseResp function is:

When fitting this function, the X values are supposed to be the logarithm of dose, and LOGx0 is the center of the curve, that is, the concentration for half response. so we can compute the EC50 by:

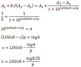
How about EC20? Since EC20 is the concentration where 20% response, we can deduce the formula from DoseResp function that:

So EC20 equals to:

For more general cases, you can always calculate the EC/IC-anything by derived parameters using this equation:

where F is the percentage of response. For example, for EC80, we have:

Keywords:EC, IC, EC50, IC50, EC20, IC20, EC80, IC80, Dose Response